今天要來解的題目是 Leetcode-287. Find the Duplicate Number,難度為中等,
而我所使用的語言是 python3
壹、理解題目
Given an array of integers nums containing n + 1 integers where each integer is in the range [1, n] inclusive.
There is only one repeated number in nums, return this repeated number.
Example 1:
Input: nums = [1,3,4,2,2] Output: 2
Example 2:
Input: nums = [3,1,3,4,2] Output: 3
Example 3:
Input: nums = [1,1] Output: 1
Example 4:
Input: nums = [1,1,2] Output: 1
Constraints:
2 <= n <= 3 * 104nums.length == n + 11 <= nums[i] <= n- All the integers in
numsappear only once except for precisely one integer which appears two or more times.
用中文說,就是給定一個大小 n 的 array,裡面會出現的數字只可能是 1~n-1,
那就代表一定有重複的數字,
而在題目的設定之中,只可能有一個數字重複兩次(或更多),
我們要找到的,就是那個重複的數字。
貳、開始解題
以下是我第一版的想法,
既然只可能出現的數字只有 1~n-1,
那就創一個跟 nums 相同大小的 array(我稱為 cnt),全部初始化為 0,
接著掃過 nums,出現數字 i,那就在 cnt 的第 i 位 +1,
用 Example 1 舉例說明:
Input: nums = [1,3,4,2,2]
創建的 cnt array 原本為 [0,0,0,0,0],
掃過 nums array 後,cnt 應該會變成 [0,1,2,1,1]
(也就是,數字 0 有 0 個、數字 1 有 1 個、數字 2 有 2 個、數字 3 有 1 個、數字 4 有 1 個),
那我們就找出在 cnt array 中大於 1 的就好,在這個例子中是數字 2。
直接給 code!

這樣的複雜度呢?
空間複雜度應該滿明顯,因為額外開了和 nums 一樣大小的 cnt array,
所以空間複雜度就是 O(n);
至於時間複雜度,在 call len(nums) 那行時,就 O(n)
接著的 for loop 最糟的情況也是 O(n)
所以 O(n) + O(n) = O(n)!
結果:Accepted!
而且 runtime 因為是 O(n),看起來頗快耶!不過 memory usage 就普普

參、有更好的做法嗎?
有的!有個解法可以維持時間複雜度 O(n),但空間複雜度卻降到 O(1)
但這沒碰過還真想不到,Floyd's Tortoise and Hare (Cycle Detection)
沒錯,這個題目可以轉換成 linked list cycle。
拆成兩步驟:
1. 轉換成 linked list(且可保證一定有 cycle)
以下方 example 舉例:
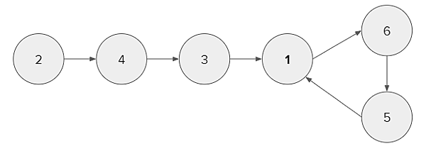
假設 nums 為一個 [2, 6, 4, 1, 3, 1, 5] 的序列,
從 nums[0] (=2) 出發,
下一個點呢?找到 nums[nums[0]] = nums[2] = 4 的位子
再下一個點呢?nums[nums[nums[0]]] = nums[nums[2]] = nums[4] = 3 的位子
再下一個點呢?nums[nums[nums[nums[0]]]] = nums[nums[nums[2]]] = nums[nums[4]] = nums[3] = 1 的位子
再下一個點呢?nums[nums[nums[nums[nums[0]]]]] = nums[nums[nums[nums[2]]]] = nums[nums[nums[4]]] = nums[nums[3]] = nums[1] = 6 的位子
舉這麼多例,應該有感覺了吧?

還是沒有感覺?直接看圖比較直觀。

觀察到了嗎?重複出現的數字 1 就是 cycle 的頭
所謂「頭」是指,開始無限輪迴 1、6、5 這個 cycle 的起始點。
阿為什麼一定會有 cycle 咧?
有 n 個數字,但數字只可能是 1 ~ (n-1),表示一定有重複,那就表示一定有 cycle 啊~
(也有可能某些數字永遠不會被 traverse 到,i.e. 一開始就在 loop裡面,可以試試上面的 example 2)
讀到這步,應該知道如何從給定的 nums 轉換成 linked list 了!
要先確認讀懂了,再繼續往下喔~
2. 找到該 cycle 的頭
好,我們目前知道要找到「duplicate number」就是「cycle head」,
那要怎麼找到「cycle head」呢?
用 Floyd Cycle Detection Algorithm!
維基:又稱龜兔賽跑算法(Tortoise and Hare Algorithm),是一個可以在有限步數判斷是否存在 cycle,且求出該 cycle 的起點與長度的算法
在這裡,我們只要找到起點就好。
此演算法又分做兩個部分:
a. hare 走兩步、tortoise 走一步,直到兩者相遇
一定會相遇?一定會,因為有 cycle。
hare 想當然會先進 cycle 嘛,人家跑比較快,
然後當 tortoise 也進到 cycle 時,因為 hare 跑得快,有一天會倒追到 tortoise,
倒追到的那個時候,就是相遇的時候,此時要進下一階段。
b. tortoise 回到原點,而 hare 每次只走一步 (just like tortoise),直到兩者相遇
直接說結論:這次的相遇一定會在 cycle head。
所以這時候就可以回傳兩者相遇時的那個數值了!Solved!
為何一定會在 cycle head 相遇?來證明吧!
所有的 case 都可以簡化成以下的圖
L 是起始點和 cycle head 的距離、x 是 cycle head 到第一次見面的距離、C 是整個 cycle 的長度

其中,L, x 都可以是 0
(L = 0 代表一開始就在 cycle;x = 0 代表剛剛好第一次遇到就是在 cycle head)
第一次相遇可以寫一個等式:2(L+x) = L+nC+x
(L+x) 代表 tortoise 走的步數,(L+nC+x) 是 hare 走的步數,
為何 hare 多 + 了 nC,因為我們不能確定 hare 在等到 tortoise 來之前,繞了幾次 cycle 了。
還記得 a. part 嗎?(hare 走兩步、tortoise 走一步,直到兩者相遇)
所以 tortoise 走的步數要乘以 2。
又,該等式可以簡化成 L+x = nC
接著,要證明一定會在 cycle head 相遇:
讓 tortoise 回到起點 (0),走 L 步到 cycle head (L) 的同時,
hare 從第一次相遇的地方 (L+x),走了一樣的步數 L 會到哪?
(L+x)+L 代入上面得到的 = nC+L 阿不就是 L 的位子, i.e. cycle head 嗎!
程式碼來!

結果:Accepted!

留言列表

